
本研究應用了400-1000nm的高光譜相機,可采用杭州彩譜科技有限公司產品FS13進行相關研究。光譜范圍在400-1000nm,波長分辨率優于2.5nm,可達1200個光譜通道。采集速度全譜段可達128FPS,波段選擇后最高3300Hz(支持多區域波段選擇)。

高光譜成像因光譜分辨率高、圖譜合一、可實現快速無損檢測等特點現已廣泛應用于農業、醫學、遙感等領域。現有的對可回收生活垃圾檢測與分類的方法,都存在檢測時間長,分類效率低,而大量多種垃圾無法同時快速分揀等問題。考慮到不同類別的生活垃圾由于其主要組成分子結構的差異,對不同波長的光有不同的吸收特性。高光譜圖像在記錄待分類垃圾的空間信息的同時,可以獲得垃圾對不同波長的光的反射率光譜信息,通過建立識別分類模型對反射率光譜信息進行分析可以實現對高光譜圖像中待分類垃圾的識別與分類。

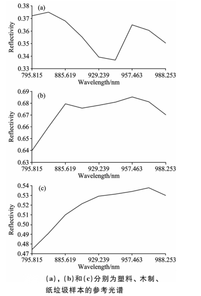
收集常見紙質、塑料、木質三種材料的可回收的垃圾樣本,包括塑料瓶、食品包裝袋、塑料玩具(飾品)碎片、一次性筷子、雪糕棒、木制家具碎片、木制包裝盒、廢舊課本、廣告紙、辦公用紙等多種物品共30個樣本,進行清洗和裁剪處理,避免樣本表面污漬對樣本反射率產生影響。利用高光譜成像系統采集樣本在近紅外(780~1000 nm)范圍內的高光譜圖像,其中18個樣本做訓練樣本集,12個樣本做測試樣本集。


采集了常見的可回收的生活垃圾,如廢舊課本、辦公室用紙、塑料瓶、塑料包裝袋、廢舊木制家具、一次性筷子等多個紙質、塑料、木質的垃圾樣本,通過建立識別分類模型,在近紅外(780.41~1001.09 nm)波段提取樣本的特征波段,并利用SAM光譜匹配算法和Fisher判別分析算法對測試樣本ROI區域內測試點分類,分類準確度均達到99%以上。
結果表明,利用高光譜成像在實驗室環境下,可以將部分常見的可回收垃圾進行識別分類,對未來改進和創新垃圾分類技術提供了依據。